CURRENT PREPRINTS



RECENT PUBLICATIONS


2025


Long-read metagenomics reveals phage dynamics in the human gut microbiome.

Nature, 2025

View Publication


Scientific data visualization showing flow diagram

Age-related microbiome metabolites alter RNA splicing and chromatin accessibility in the brain.

bioRxiv, 2025

View Publication


PRISMA flow diagram

A systematic literature review and bayesian meta-analysis of oral vancomycin primary prophylaxis for Clostridioides difficile infection in stem cell transplant patients.

Antimicrob Steward Healthc Epidemiol, 2025

View Publication


Clostridium cuniculi is associated with chronic high-morbidity low-mortality diarrhea in NSG and NSG-related mouse strains.

Vet Pathol, 2025

View Publication


Scientific diagram illustration

A peptide display system identifies a potent mutant β-melanocyte-stimulating hormone agonist of melanocortin-4 receptor.

Cell Genom, 2025

View Publication


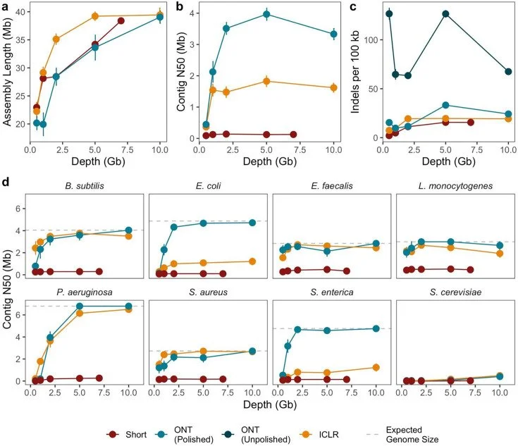
Multi-panel scientific figure showing genome assembly metrics across different sequencing depths and methods

Illumina complete long read assay yields contiguous bacterial genomes from human gut metagenomes.

mSystems, 2025

View Publication


The prototypic crAssphage is a linear phage-plasmid.

Cell Host Microbe, 2025

View Publication


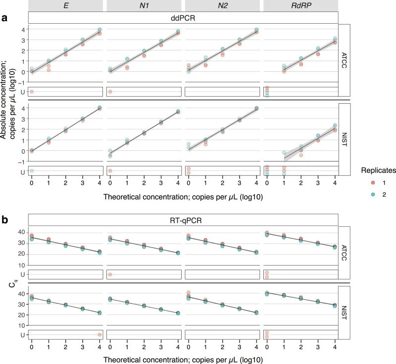
Absolute quantification of prokaryotes in the microbiome by 16S rRNA qPCR or ddPCR.

Nat Protoc, 2025

View Publication


Discovering Broader Host Ranges and an IS-bound Prophage Class Through Long-Read Metagenomics.

bioRxiv, 2025

View Publication


Medical research poster

Impact of Post-Transplant Cyclophosphamide-Based GVHD Prophylaxis in Patients 70 years and Older: An Update from BMT CTN 1703.

Blood Adv, 2025

View Publication


Diagram showing a laboratory workflow for analyzing bacterial samples from stool

Accurate prediction of absolute prokaryotic abundance from DNA concentration.

Cell Rep Methods, 2025

View Publication


Unraveling the tempo and mode of horizontal gene transfer in bacteria.

Trends Microbiol, 2025

View Publication


Scientific figure showing evolutionary relationships and genome characteristics of parasitic organisms

Contiguous and complete assemblies of Blastocystis gut microbiome-associated protists reveal evolutionary diversification to host ecology.

Genome Res, 2025

View Publication


Multi-panel scientific figure showing data analysis of bacterial samples

Gut metagenomes reveal interactions between dietary restriction, ageing and the microbiome in genetically diverse mice.

Nat Microbiol, 2025

View Publication


Mind the gap: Intergenic regions in bacteria encode numerous small proteins.

Mol Cell, 2025

View Publication


Set of charts comparing infection levels of different bacterial species across various genetic variants in a research study.

Replicative selfish genetic elements are driving rapid pathogenic adaptation of Enterococcus faecium.

bioRxiv, 2025

View Publication


A scientific figure with six panels showing charts and diagrams of DNA gene associations

Comprehensive profiling of genomic invertons in defined gut microbial community reveals associations with intestinal colonization and surface adhesion.

Microbiome, 2025

View Publication


A scientific figure with box plots comparing immune cell diversity in transplant patients

Graft-versus-host disease prophylaxis shapes T cell biology and immune reconstitution after hematopoietic cell transplant.

medRxiv, 2025

View Publication


Multi-panel scientific figure showing comparison of bacterial community data from different geographic locations

Expanding the human gut microbiome atlas of Africa.

Nature, 2025.

View Publication


Microproteins: emerging roles as antibiotics.

Trends Genet, 2025

View Publication


Improved Patient-Reported Outcomes With Post-Transplant Cyclophosphamide: A Quality-of-Life Evaluation and 2-Year Outcomes of BMT CTN 1703.

J Clin Oncol, 2025

View Publication


2024


A scientific figure showing computer-generated models of two proteins, illustrating their shapes and how they fit together.

Viroid-like colonists of human microbiomes.

Cell, 2024

View Publication


Intragenic DNA inversions expand bacterial coding capacity.

Nature, 2024

View Publication


A scientific flowchart showing how researchers analyzed millions of tiny genetic sequences from human body microbiome samples to identify promising candidates for new antibiotic compounds.

Mining human microbiomes reveals an untapped source of peptide antibiotics.

Cell, 2024.

View Publication


A scientific diagram showing how bacteria send and receive chemical signals, with supporting charts and molecular models.

Dual quorum-sensing control of purine biosynthesis drives pathogenic fitness of Enterococcus faecalis.

bioRxiv, 2024

View Publication


Author Correction: Quantifying bias introduced by sample collection in relative and absolute microbiome measurements.

Nat Biotechnol, 2024

View Publication


Sequencing-based analysis of microbiomes.

Nat Rev Genet, 2024.

View Publication


A flowchart showing how 784 people were screened for a COVID-19 drug trial, with 155 ultimately enrolled and split into two groups receiving either a real treatment or a placebo.

Nirmatrelvir-Ritonavir and Symptoms in Adults With Postacute Sequelae of SARS-CoV-2 Infection: The STOP-PASC Randomized Clinical Trial.

JAMA Intern Med, 2024

View Publication


Transcatheter Pulmonary Valve Replacement With Balloon-Expandable Valves: Utilization and Procedural Outcomes From the IMPACT Registry.

JACC Cardiovasc Interv, 2024.

View Publication


A scientific figure showing how researchers discovered and tracked a newly identified type of genetic element in human gut samples, with charts showing its presence across donors over time.

Viroid-like colonists of human microbiomes.

bioRxiv, 2024

View Publication


2023


Metabolic diversity in commensal protists regulates intestinal immunity and trans-kingdom competition.

Cell, 2023

View Publication


Hybrid assemblies of microbiome Blastocystis protists reveal evolutionary diversification reflecting host ecology.

bioRxiv, 2023

View Publication


Acute steroid-refractory GI GVHD is not associated with significant differences in gut taxonomic composition compared to steroid-sensitive GI GVHD immediately prior to onset of disease: GI GVHD is not characterized by gut microbial differences preceding symptom onset.

Transplant Cell Ther, 2023

View Publication


Identification of over ten thousand candidate structured RNAs in viruses and phages.

Comput Struct Biotechnol J, 2023

View Publication


Phage diversity in cell-free DNA identifies bacterial pathogens in human sepsis cases.

Nat Microbiol, 2023

View Publication


Stacked bar chart showing the types and amounts of different viruses detected in wastewater samples from various treatment facilities.

The Tomato Brown Rugose Fruit Virus Movement Protein Gene Is a Novel Microbial Source Tracking Marker.

Appl Environ Microbiol, 2023.

View Publication


The TaxUMAP atlas: Efficient display of large clinical microbiome data reveals ecological competition in protection against bacteremia.

Cell Host Microbe, 2023

View Publication


Post-Transplantation Cyclophosphamide-Based Graft-versus-Host Disease Prophylaxis.

N Engl J Med, 2023

View Publication


Chemoproteomic identification of a DPP4 homolog in Bacteroides thetaiotaomicron.

Nat Chem Biol, 2023

View Publication



Quantifying bias introduced by sample collection in relative and absolute microbiome measurements.

Nat Biotechnol, 2023

View Publication


Forest plot showing statistical analysis of how different antibiotic treatments affect patient survival and health outcomes in a medical study.

Multi-panel figure showing computational methods and network diagrams used to analyze genetic data and identify relationships between different organisms or genes.

Systematic discovery of recombinases for efficient integration of large DNA sequences into the human genome.

Nat Biotechnol, 2023

View Publication


Cancer Demographics and Time-to-Care in Belize.

Oncologist, 2023

View Publication


2022


Human β-defensin 2 ameliorates acute GVHD by limiting ileal neutrophil infiltration and restraining T cell receptor signaling.

Sci Transl Med, 2022

View Publication


Equitable partnerships and the path to inclusive, innovative and impactful human microbiome research.

Nat Rev Gastroenterol Hepatol, 2022

View Publication


Diagram showing how genes can be rearranged to create different combinations and produce various molecular products.

From genome structure to function: insights into structural variation in microbiology.

Curr Opin Microbiol, 2022

View Publication


Flowchart showing a medical decision-making process for assessing and managing heart disease risk in South Asian patients using various health measurements and treatment approaches.

Cardiovascular Risk Management in the South Asian Patient: A Review.

Health Sci Rev (Oxf), 2022

View Publication


Near-fatal Legionella pneumonia in a neonate linked to home humidifier by metagenomic next generation sequencing.

Med, 2022

View Publication


Flowchart showing a computational method for analyzing viral genetic data to identify small proteins and study their functions.

Thousands of small, novel genes predicted in global phage genomes.

Cell Rep, 2022

View Publication


Infographic showing how COVID-19 virus can be detected in patients' respiratory and fecal samples, with fecal shedding lasting much longer than respiratory shedding.

Gastrointestinal symptoms and fecal shedding of SARS-CoV-2 RNA suggest prolonged gastrointestinal infection.

Med, 2022

View Publication


Scientific figure showing a drug discovery process with charts and chemical structures used to identify potential new medicines.

Identification of covalent inhibitors that disrupt M. tuberculosis growth by targeting multiple serine hydrolases involved in lipid metabolism.

Cell Chem Biol, 2022

View Publication


Scientific charts showing the analysis of gut bacteria using DNA sequencing methods and their relationship to stool samples.

A compilation of fecal microbiome shotgun metagenomics from hematopoietic cell transplantation patients.

Sci Data. 2022

View Publication


Flowchart showing how participants in a medical study were divided into treatment groups and tracked through the research process.

Microbiota dynamics in a randomized trial of gut decontamination during allogeneic hematopoietic cell transplantation.

JCI Insight, 2022

View Publication


Stacked bar charts and box plots showing the types and amounts of gut bacteria found in people from two different South African communities.

Short- and long-read metagenomics of urban and rural South African gut microbiomes reveal a transitional composition and undescribed taxa.

Nat Commun, 2022

View Publication


Charts and flowchart showing a laboratory method for analyzing bacteria in patient samples and comparing infection rates.

Rare transmission of commensal and pathogenic bacteria in the gut microbiome of hospitalized adults.

Nat Commun, 2022

View Publication


2021


Publisher Correction: Standardized preservation, extraction and quantification techniques for detection of fecal SARS-CoV-2 RNA.

Nat Commun, 2021

View Publication


Comparative genomics of Enterobacter cloacae complex before and after acquired clinical resistance to Ceftazidime-Avibactam.

Diagn Microbiol Infect Dis, 2021

View Publication


Flowchart showing guidelines for organizing and reporting scientific studies about the microorganisms that live in and on the human body.

Reporting guidelines for human microbiome research: the STORMS checklist.

Nat Med, 2021

View Publication


Charts showing how gut bacteria diversity changes over time in people receiving different treatments in a clinical study.

A Fructo-Oligosaccharide Prebiotic Is Well Tolerated in Adults Undergoing Allogeneic Hematopoietic Stem Cell Transplantation: A Phase I Dose-Escalation Trial.

Transplant Cell Ther, 2021

View Publication


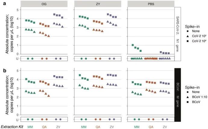
Charts showing the accuracy and performance of different laboratory testing methods used to measure genetic material.

Standardized preservation, extraction and quantification techniques for detection of fecal SARS-CoV-2 RNA.

Nat Commun, 2021

View Publication


Diagram showing laboratory steps and equipment used to process samples and prepare them for genetic analysis.

Simultaneous ribosome profiling of hundreds of microbes from the human microbiome.

Nat Protoc, 2021

View Publication


Diagram showing how different types of immune cells can have beneficial or harmful effects in medical treatments.

Invariant natural killer T-cell subsets have diverse graft-versus-host-disease-preventing and antitumor effects.

Blood, 2021

View Publication


Map of Nigeria and neighboring West African countries showing the locations of several health facilities or hospitals marked with blue symbols.

Implementing Patient-Directed Cancer Education Materials Across Nigeria.

JCO Glob Oncol, 2021

View Publication


Scientific figure showing computational methods and charts used to analyze and classify viral genetic data from environmental samples.

Metagenomic compendium of 189,680 DNA viruses from the human gut microbiome.

Nat Microbiol, 2021

View Publication


Standardized and optimized preservation, extraction and quantification techniques for detection of fecal SARS-CoV-2 RNA.

medRxiv, 2021

View Publication


Comparative genomics identifies thousands of candidate structured RNAs in human microbiomes.

Genome Biol, 2021

View Publication


The gut microbiome: a missing link in understanding the gastrointestinal manifestations of COVID-19?

Cold Spring Harb Mol Case Stud, 2021

View Publication


Peginterferon Lambda-1a for treatment of outpatients with uncomplicated COVID-19: a randomized placebo-controlled trial.

Nat Commun, 2021

View Publication


Charts showing the performance and accuracy of different computer analysis methods used in a scientific study.

Automated Prediction and Annotation of Small Open Reading Frames in Microbial Genomes.

Cell Host Microbe, 2021

View Publication


Detailed laboratory procedure diagram showing step-by-step methods for extracting and purifying genetic material from biological samples.

Improved high-molecular-weight DNA extraction, nanopore sequencing and metagenomic assembly from the human gut microbiome.

Nat Protoc, 2021

View Publication


2020


Assessing and Addressing the Need for Cancer Patient Education in a Resource-Limited Setting in Haiti.

Oncologist, 2020

View Publication


Scientific figure showing several line graphs comparing activity across a bacterial gene sequence, alongside a diagram of the molecule’s folded structure.

Structured RNA Contaminants in Bacterial Ribo-Seq.

mSphere, 2020

View Publication


Microbes and microbiomes in 2020 and beyond.

Nat Commun, 2020

View Publication


Recommendations from the ASCO Academic Global Oncology Task Force.

JCO Glob Oncol, 2020

View Publication


Diagram showing how a treatment may help protect the intestines by supporting healthy gut cells and improving the balance of bacteria in the gut.

Glucagon-like peptide 2 for intestinal stem cell and Paneth cell repair during graft-versus-host disease in mice and humans.

Blood, 2020

View Publication


Chart comparing patient age, sex, and insurance types across different groups based on illness severity and location.

Characteristics of Adults With Congenital Heart Defects in the United States.

J Am Coll Cardiol, 2020

View Publication


Scientific diagram showing the steps researchers use to study genetic material and protein activity in human gut bacteria samples.

MetaRibo-Seq measures translation in microbiomes.

Nat Commun, 2020

View Publication


You said even simpler  Gemini said A comparison of DNA sequencing results shows how well different types of bacteria were identified and reconstructed into complete circular maps.

Complete, closed bacterial genomes from microbiomes using nanopore sequencing.

Nat Biotechnol, 2020

View Publication


A timeline chart shows how a patient's gut bacteria changed over 56 days while they received various medical treatments like antibiotics and chemotherapy.

Strain-resolved microbiome sequencing reveals mobile elements that drive bacterial competition on a clinical timescale.

Genome Med, 2020

View Publication


Author Correction: Acquisition, transmission and strain diversity of human gut-colonizing crAss-like phages.

Nat Commun, 2020

View Publication


Gemini said This heatmap shows how closely the DNA of certain bacteria matches between mothers and their infants over time, with yellow areas indicating nearly identical genetic samples.

Acquisition, transmission and strain diversity of human gut-colonizing crAss-like phages.

Nat Commun, 2020

View Publication


This graphic explains how scientists find and count mobile pieces of DNA in various bacteria using a step-by-step mapping process.

A Bioinformatic Analysis of Integrative Mobile Genetic Elements Highlights Their Role in Bacterial Adaptation.

Cell Host Microbe, 2020

View Publication


Other Years


A Bioinformatic Analysis of Integrative Mobile Genetic Elements Highlights Their Role in Bacterial Adaptation

Durrant et al, Cell Host & Microbe, 2018


Large-Scale Analyses of Human Microbiomes Reveal Thousands of Small, Novel Genes

Sberro, et al. Cell, 2019


Precision identification of diverse bloodstream pathogens in the gut microbiome

Tamburini, Andermann et al, Nature Medicine 2018


High-quality genome sequences of uncultured microbes by assembly of read clouds

Bishara, Moss et al, Nature Biotech, 2018


REVIEWS


Surveying Gut Microbiome Research in Africans; Brewster, Tamburini, Asiimwe, Oduaran, Hazelhurst & Bhatt, Trends in Microbiology 2019

Surveying Gut Microbiome Research in Africans

Brewster, Tamburini, Asiimwe, Oduaran, Hazelhurst & Bhatt, Trends in Microbiology 2019


Microbiome genome structure drives function

Durrant & Bhatt, Nature Microbiology, 2019

 

If you are interested in philanthropically supporting the work of The Bhatt Lab, please contact:

Evelyn Klass-Rodewald
Senior Associate Director, Major Gifts
Stanford Medicine, Medical Center Development
evelyn.rodewald@stanford.edu